Nom

syslin — définition d'un système dynamique linéaire

Séquence d'appel

[sl]=syslin(dom,A,B,C [,D [,x0] ])
[sl]=syslin(dom,N,D)
[sl]=syslin(dom,H)

Paramètres

dom

chaîne de caractères ('c', 'd'), ou [] ou un scalaire.

A,B,C,D

matrices de la représentation d'état (D est optionnelle, matrice nulle par défaut). Pour les systèmes impropres D est une matrice polynomiale.

x0

vecteur (état initial, vecteur nul par défaut)

N, D

matrices polynomiales

H

matrice rationnelle

sl

tlist (liste de type "syslin") représentant le système dynamique

Description

syslin définit un système dynamique linéaire en temps que liste typée, et vérifie la consistance des données.

dom spécifie le domaine temporel :

dom='c' pour un système à temps continu, dom='d' pour un système à temps discret, n pour un système échantillonné à la période n (en secondes).

dom=[] si le domaine temporel n'est pas défini

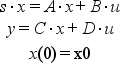
Représentation d'état :

 
sl=syslin(dom,A,B,C [,D [,x0] ])
 

représente le système :

La sortie de syslin est une liste de la forme suivante : sl=tlist(['lss','A','B','C','D','X0','dt'],A,B,C,D,x0,dom) Notez que D peut être une matrice polynomiale (systèmes impropres).

Représentation sous forme de matrice de transfert :

 
sl=syslin(dom,N,D) 
sl=syslin(dom,H)
 

La sortie de syslin est une liste de la forme : sl=tlist(['r','num','den','dt'],N,D,dom) ou sl=tlist(['r','num','den','dt'],H(2),H(3),dom).

Les systèmes linéaires obtenus en sortie de syslin peuvent être manipulés comme des matrices usuelles (concaténation, extraction, transposition, multiplication, etc.) dans les deux types de représentation (représentation d'état ou matrice de transfert).

La plupart des fonctions de la librairie de contrôle acceptent les listes de type syslin en argument au lieu des quatre matrices de la représentation d'état.

Exemples

 
A=[0,1;0,0];B=[1;1];C=[1,1];
S1=syslin('c',A,B,C)   // Définition du système
S1.A    // La matrice A
S1.X0, S1.dt // affichage de X0 et du domaine temporel
s=poly(0,'s');
D=s;
S2=syslin('c',A,B,C,D)
H1=(1+2*s)/s^2, S1bis=syslin('c',H1)
H2=(1+2*s+s^3)/s^2, S2bis=syslin('c',H2)
S1+S2
[S1,S2]
ss2tf(S1)-S1bis
S1bis+S2bis
S1*S2bis
size(S1)
 

Voir Aussi

tlist, lsslist, rlist, ssrand, ss2tf, tf2ss, dscr, abcd